
在高能量密度储能需求持续增长的背景下,Na–O2电池因其较高的理论比能量以及钠资源丰富、成本低廉等优势,被认为是极具潜力的新一代储能体系。然而,传统Na–O2电池多依赖有机液态电解液,尽管在反应机理研究方面已取得较多进展,但其实际应用仍受限于电解液及界面稳定性不足。从电池反应机制来看,液态体系中放电产物NaO2具有较高的化学活性,易与有机溶剂发生副反应,不仅持续消耗电解液,还会生成Na2CO3、NaOH等绝缘副产物,进而引发正极钝化、充电过电位升高以及循环寿命快速衰减。同时,液态电解液还存在泄漏、可燃以及钠枝晶生长导致短路等安全隐患。为克服上述问题,采用β–Al2O3等陶瓷固体电解质构筑全固态Na–O2电池被认为是一个重要发展方向。固态体系在提升安全性与化学稳定性的同时,也引入了新的界面挑战:在正极侧,Na+、电子与O2需要在三相边界处协同传输,而传统固–固接触界面有限,导致反应动力学受限。在负极侧,金属Na对陶瓷表面的润湿性较差,界面接触不良,易引发循环失效。因此,如何协同调控正极三相反应界面与负极Na/陶瓷界面,成为制约全固态Na–O2电池性能提升的关键问题。针对上述挑战,此项工作围绕双界面协同调控这一核心思路,构建一体化界面结构,旨在实现Na–O2电池长寿命稳定运行,并为全固态金属–氧气电池的界面设计提供新的研究思路。

图1 全固态Na–O2电池界面设计示意图。
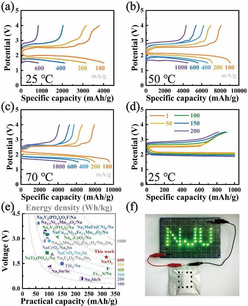
该研究团队构建了多孔–致密双层β–Al2O3一体式陶瓷骨架,消除了电解质与正极之间的高阻抗界面。在此基础上,通过等离子体增强化学气相沉积技术在多孔骨架内沉积超薄石墨化碳层以建立电子传导网络,并在负极侧引入Bi2O3修饰层形成梯度Na–Bi–O混合导电界面,从而同时拓展正极三相反应界面并改善Na/陶瓷界面接触,实现正负极双界面的协同调控。基于上述认识,该研究团队提出了由“正极三相界面扩展”与“负极反应性浸润界面稳定化”协同构成的双界面一体化策略,使全固态Na–O2电池由传统物理组装结构转变为具有化学连续性的整体架构。得益于此,全固态Na–O2电池在100 mA/g电流密度下可实现4012 mAh/g的高比容量,在600 mA/g下仍保持约900 mAh/g,并在固定比容量1000 mAh/g条件下稳定循环超过200次。原位拉曼与差分电化学质谱测试表明,该全固态Na–O2电池遵循可逆的NaO2生成与分解反应,且固态环境能够有效抑制副反应。这些成果表明,正负双界面的协同稳定是实现长寿命全固态Na–O2电池的关键,并为高安全、高能量密度金属–空气电池提供了新的设计思路。

图2 全固态Na–O2电池的电化学性能。(a)25°C、(b)50°C与(c)70°C下全固态Na–O2电池的倍率性能图;(d)固定比容量1000 mAh/g下全固态Na–O2电池的循环性能图;(e)全固态Na–O2电池与已报道的固态钠金属电池体系的能量密度对比图;(f)全固态Na–O2软包电池点亮LED灯的数码照片
相关工作以“Chemical Integration of Multiphase Interfaces in All-Solid-State Sodium−Oxygen Batteries via Monolithic Ceramic Scaffolds”为题,于2026年3月18日在Journal of the American Chemical Society上在线发表。betway88西汉姆联何平教授与周豪慎教授为论文通讯作者,2019级博士生钟含运为该论文的第一作者。以上研究得到国家重点研发计划、国家自然科学基金、江苏省自然科学基金、江苏省碳达峰碳中和科技创新专项资金等项目的资助,同时也得到了固体微结构物理国家重点实验室、人工微结构科学与技术协同创新中心、江苏省功能材料设计原理与应用技术重点实验室和betway88西汉姆联储能材料与技术中心等单位的支持。
文章链接:https://doi.org/10.1021/jacs.6c00021


