Yurong Yang 's research group at College of Engineering and Applied Sciences, Nanjing University cooperated with the University of Arkansas and Fudan University and made important progress in the research of multiferroic materials and electronically controlled magnetic materials. The relevant results were published in Physical Review Letters, entitled Electric- Field Control of Magnetization, Jahn-Teller Distortion, and Orbital Ordering in Ferroelectric Ferromagnets (DOI: 10.1103/PhysRevLett.122.247701).

Figure 1. Geometry and major structural distortions of the ground state of the studied PTO/LTO superlattice. (a) Polarization distortion about the in-plane axis ([−110] direction). (b) Antiphase oxygen octahedral rotations Φxy about the inplane axis ([110] direction). (c) In-phase oxygen octahedral rotations Θz about the out-of-plane axis ([001] direction). (d) Q Jahn-Teller lattice distortion.
Multiferroic materials are hot research topics in the field of condensed matter physics and material physics in recent years, and have huge application prospects in the electrical and magnetic fields such as storage and sensing. Although there are different types of multiferroic materials, namely type I multiferroic (such as BiFeO3), type II multiferroic (such as TbMnO3), hybrid extrinsic multiferroic, etc., most of them are only very weak net ferromagnetic. Single-phase materials with strong ferromagnetic field control have never been realized. In addition, Jahn-Teller lattice distortion is another interesting phenomenon in materials, which is closely related to orbital order, giant magnetoresistance, superconductivity and strong electron correlation properties. Adjusting the Jahn-Teller effect and other electronic properties of materials by external electric field is another important research content.

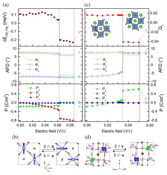
Figure 2 (a),(b) Physical quantities as a function of the electric field applied along −b, i.e., perpendicular to the initial direction of the polarization, and (c),(d) applied along a, i.e., antiparallel to the initial direction of the polarization, in the studied PTO/LTO superlattice. (a) Energy difference between ferromagnetic configurations along a and b; oxygen octahedral tilting angles, Φx, Φy, and Θz; and polarization P. (b) Schematization of the spin configurations on Ti3+ ions, which can be switched by 90° via the application of electric fields oriented along the −b axis or the −a axis. (c) JT distortion Q, and oxygen octahedral tilting angles and polarization. (d) Charge density of states near the Fermi level in energy range from −0.5 to 0 eV. The black open symbols in (a) and (c) represent the same quantities when the electric field is released.
Yurong Yang 's research team achieved electric field control of strong ferromagnetic properties in PbTiO3/LaTiO3 and other superlattices. Jahn-Teller distortion and orbital order can also be controlled by the electric field. Specifically, the PbTiO3/LaTiO3 superlattice is not only multiferroic but also has strong polarization and strong ferromagnetism, as well as Jahn-Teller effect and orbital order. Under the electric field, the direction of this strong ferromagnetic can be reversed by 90° or even reversed completely by 180°. Even more amazing is that the Jahn-Teller distortion and orbital sequence can be reversed as the direction of the electric field changes. Therefore, these novel discoveries will open a new door for the regulation of magnetism, magnetoelectric coupling, and strongly correlated electronic properties. This work will greatly promote the substantial development of many fields (such as condensed matter, material science, nanoscience and electromagnetism), and solve a prominent problem in the field of multiferroic materials research-control magnetization through electric field. In addition, by controlling Jahn-Teller distortion and orbital order to control electronic properties, a new field of controlling electronic property through electric field is discovered.
Yurong Yang, the specially invited researcher at the College of Engineering and Applied Sciences, Nanjing University, is the corresponding author of the paper. The cooperative universities include the University of Arkansas, the University of Luxembourg, and Fudan University. Support for projects such as special funds. The research was supported by the Organization Department of the Central Committee of the CPC, NSFC (Contract No. 11874207) and the state key program for basic research of China (Contract No. 2015CB921203).

