4月17日,betway88西汉姆联夏可宇教授和陆延青教授团队与上海交通大学金贤敏教授团队合作,在国际物理学权威期刊《Physical Review Letters》以“Vector Vortex Beam Emitter Embedded in a Photonic Chip”为题发表了最新研究成果,建立了光子芯片激光直写控制模型,提出了包含轨道角动量光模式的张量形式耦合模理论并实验实现了光子芯片上矢量涡旋光的高效率产生。光子集成芯片内矢量涡旋光的嵌入式产生,使得在单个芯片内实现产生、传输和操控一体化变成现实。结合阵列化集成能力,该工作为大规模集成化地利用光子轨道角动量自由度资源,以及开展高容量通信和高维量子信息处理奠定了基础。




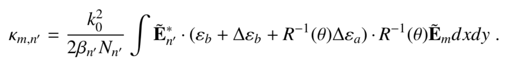
图1. 嵌入在激光直写光子芯片中的矢量涡旋光辐射器阵列,直写激光能量及扰动与波导结构的关系,张能量形式模式耦合系数。
光子除了具有频率、空间模式、以及时间-能量等自由度之外,还可以携带自旋角动量和轨道角动量。自旋角动量与光的极化相关,被广泛应用于量子光学的二维希尔伯特空间中编码信息。不同于自旋角动量,轨道角动量拥有无限的拓扑荷和内在的正交性,可以为模式多路分发提供巨大的资源,有望用于解决通信系统上信道容量紧缩的问题。矢量涡旋光束同时携带光的自旋和轨道角动量,为现代光学、经典和量子信息技术都提供了额外的自由度和新兴的资源。其固有的无限维度有望用来提高数据容量,支撑大数据和互联网流量的空前增长,乃至于可用来构建高维希尔伯特空间的量子计算机。
矢量涡旋光束的大规模应用迫切需要开发光子集成技术,能够在光子芯片上产生、传输,甚至处理矢量涡旋光束。目前从芯片表面辐射矢量涡旋光束到自由空间已经得到了广泛的研究,然而在光子集成芯片内部产生和传输矢量涡旋光束仍然是一个长期存在的挑战。如何利用激光直写技术制备高性能光子芯片?如何理解微小空间内密集光学模式直接的相互作用、传输和转换?这些关键科学问题的回答和矢量涡旋光光子芯片高效产生将极大推动高容量光通信技术和大规律高维光量子信息处理技术的发展。
夏可宇和陆延青教授团队与上海交通大学集成量子信息技术中心(IQIT)金贤敏教授团队紧密协作,理论和实验上均取得了重要突破。他们在理论推导了直写激光能量与光子芯片结构参数的关系,为激光直写高性能功能定制的光子芯片提供了指导,并构建了包含矢量涡旋光模式和材料介电张量的广义耦合模理论。该理论的建立不仅有助于理解多个模式间的相互转化、波导中场的演化以及不完美加工所带来的影响,还将耦合模理论推广到更普适的情况,可以为光子集成芯片内有效操控轨道角动量自由度提供重要支撑。实验上,他们通过调控片内单模光波导和甜甜圈型光波导之间的倏逝波耦合,突破了光子集成芯片内可控产生矢量涡旋光的难题。通过在工程上精确调控相位匹配条件,可以按需产生具有特定拓扑荷的矢量涡旋光束,转化效率高达74%。
金贤敏教授、夏可宇教授和陆延青教授作为文章的共同通讯作者,感谢国家重点研发计划量子调控专项、国家自然科学基金项目的大力支持。该工作的南大部分还得到了betway88西汉姆联卓越研究计划项目的支持。
论文链接:
https://journals.aps.org/prl/abstract/10.1103/PhysRevLett.124.153601


